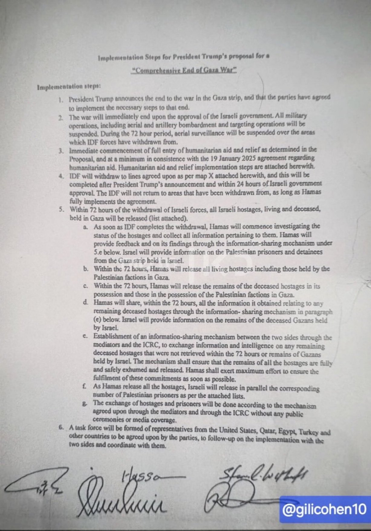
İsrail ve Hamas arasında "Gazze Savaşı’nın Kapsamlı Sona Erdirilmesi" başlığı altında imzalanan ve ABD Başkanı Donald Trump'ın önerisinin uygulama adımlarını içeren resmi belge, İsrail medyasında yayınlanarak bölgedeki tansiyonun düşürülmesi için atılacak somut adımları gözler önüne serdi. Anlaşma, acil ateşkes, İsrail askerlerinin çekilmesi, insani yardımın tam girişi ve en önemlisi de tüm esirlerin 72 saat içinde serbest bırakılmasını öngörüyor.
Savaşın derhal sona erdirilmesi ve çekilme
Belge, Başkan Trump'ın duyurusunun hemen ardından ve İsrail hükümetinin onayıyla savaşın derhal sona ereceğini ilan ediyor. Bu, hava ve topçu bombardımanı dâhil tüm askerî operasyonların derhâl askıya alınması anlamına geliyor.
Ayrıca, İsrail Savunma Kuvvetleri (IDF) belirlenen X haritasına göre üzerinde anlaşılan hatlara çekilecek. Bu çekilmenin, duyuruyu takiben 24 saat içinde tamamlanması hedefleniyor. Anlaşmanın kilit maddelerinden biri de, Hamas anlaşmayı tam olarak uyguladığı sürece, IDF'nin çekildiği bölgelere geri dönmeyeceği taahhüdü. Çekilme süresince ve sonrasındaki 72 saatlik kritik dönem boyunca, IDF'nin çekildiği bölgeler üzerinde hava gözetlemesi de durdurulacak.
72 saatli kritik esir takası mekanizması
Anlaşmanın en can alıcı bölümü, rehinelerin serbest bırakılmasına ayrılmış durumda. İsrail güçlerinin çekilmesinden itibaren 72 saat içinde, Gazze’de tutulan tüm İsrailli esirlerin (sağ ve vefat edenler dâhil) serbest bırakılması taahhüt ediliyor.
Serbest bırakılma süreci şöyle işleyecek
-
Bilgi baylaşımı: IDF'nin çekilmesi tamamlanır tamamlanmaz, Hamas esirlerin durumu hakkında bilgi toplayacak ve bu bilgileri paylaşım mekanizması üzerinden aktaracak. İsrail de Gazze kökenli Filistinli mahkûm ve tutuklulara ilişkin bilgi sağlayacak.
-
72 saat içinde tahliye: Bu 72 saatlik süre zarfında, Hamas elindeki (Gazze'deki diğer Filistinli grupların elindekiler dâhil) tüm hayatta olan esirleri serbest bırakacak. Aynı süre içinde vefat eden esirlerin naaşları da teslim edilecek.
-
Eş zamanlı mahkûm takası: Hamas tüm esirleri serbest bıraktıkça, İsrail de eş zamanlı olarak ekli listelere göre karşılık gelen sayıda Filistinli mahkûmu serbest bırakacak.
-
Protokol: Takas, ara bulucular ve ICRC (Kızılhaç) üzerinden, herhangi bir tören veya medya yayını olmaksızın gizlilikle gerçekleştirilecek.
Özellikle vefat eden esirler ve İsrail'in elindeki Gazzelilerin naaşları hakkında bilgi değişimi için ara bulucular ve ICRC aracılığıyla özel bir bilgi paylaşım mekanizması kurulacak.
İnsani yardım ve denetleme görev gücü
Savaşın sona ermesiyle birlikte, insani yardım ve yardım malzemelerinin tam girişine derhâl başlanacak. Bu, asgari olarak 19 Ocak 2025 tarihli insani yardım anlaşması ile uyumlu olacak.
Anlaşmanın uygulanmasını takip etmek üzere Amerika Birleşik Devletleri, Katar, Mısır, Türkiye ve tarafların üzerinde anlaşacağı diğer ülkelerin temsilcilerinden oluşan bir görev gücü kurulacak. Bu görev gücü, her iki tarafla koordinasyon içinde anlaşmanın adımlarını yakından izleyecek.
Yayınlanan bu belge, Gazze'deki çatışmaların sona ermesi ve esirlerin geri dönüşü için atılacak somut ve zaman çizelgeli adımları belirlemesi açısından büyük önem taşıyor. Tüm gözler, başta İsrail hükümeti olmak üzere tarafların bu kararları ne zaman ve ne şekilde onaylayacağına çevrilmiş durumda.






